分享:L360M 管線鋼管水壓爆破試驗開裂分析
通過斷口宏觀和微觀分析、化學成分分析、力學性能試驗、金相分析等理化性能試驗,對L360M 直縫埋弧焊鋼管水壓爆破試驗出現縱向開裂和橫向斷裂的原因進行了分析.結果表明:鋼管縱向開裂和橫向斷裂主要是由于管體材料韌性較差,鋼管材料中鐵素體G珠光體帶狀組織嚴重則是導致其韌性較差的主要原因,而管材中嚴重的帶狀組織與鋼中錳含量偏高導致錳偏析有關;建議合理控制錳元素含量,還可以通過降低鋼管用板材終軋溫度、增加控冷冷卻速率、微合金化等措施來降低板材的帶狀組織級別.
關鍵詞:管線鋼管;水壓爆破試驗;開裂;韌性;帶狀組織;錳偏析
中圖分類號:TE973.91 文獻標志碼:B 文章編號:1001G4012(2017)04G0273G07
收稿日期:2016G04G22
作者簡介:羅華權(1983-),男,工程師,碩士,主要從事石油管
材質量監督檢驗及研究工作,luohuaquan@cnpc.com.cn.
焊接鋼管水壓爆破試驗是驗證鋼管承載能力,判斷到達設計壓力后鋼管安全性是否合格的一項重要試驗[1].某 鋼 管 廠 生 產 的 規 格 為 ?813 mm×30mm 的L360M 直縫埋弧焊接鋼管,在水壓爆破試驗后出現了縱向開裂和橫向斷裂的情況(一般只縱向開裂),起裂位置位于管體.通過斷口宏觀形貌分析,初步判斷失效是由鋼管材料韌性較差造成的。
爆裂管材料采用的是管線鋼管常用材料 L360M,采用“JCOE”成型方式,即直縫埋弧焊接.該成型方式主要過程為采用多軸控制的智能化液壓成型設備,按照鋼管的曲率,對鋼板的兩個邊同時進行彎曲,實現鋼板的“J”成型,經過“J”成型的鋼板快速橫向送進給至指定位置,從另一端開始對未成型的鋼板進行多步逐次彎曲,實現鋼板后半部分的 “C”成型;最后對“C”型管環的下部進行一次彎曲,將彎邊后的鋼板壓制成 O 型管坯,進入下一道焊接工序.其主要加工工序包括銑邊、預彎邊、成型、預焊、內外焊、無損探傷、補焊、機械擴徑、水壓試驗、管端倒棱、無損探傷、外觀及幾何尺寸檢查等。
1 理化檢驗
1.1 斷口宏觀分析
鋼 管 縱 向 斷 口 和 橫 向 斷 口 宏 觀 形 貌 見圖1(a)~(b),可見斷口表面呈現帶有金屬光澤的
晶粒狀,有明顯的人字紋,斷口面較為平直,為典型的脆性斷口[2].根據整個橫斷面人字紋尖端所指的方向,斷裂源為縱向裂紋的末端,即鋼管的膨脹起爆點,見圖1(c).
1.2 化學成分分析
按 照 ASTM A751-14a[3] 要 求,采 用 ARL4460直讀光譜儀對管體化學成分進行分析.結果
如 表 1 所 示,可 見 除 錳 元 素 含 量 稍 高 于 GB/T9711-2011«石油天然氣工業 管線 輸 送 系 統 用 鋼管»[4]技術要求外,其余元素含量均符合標準技術要求.GB/T9711-2011還指出根據碳含量比規定值的減少量,可以允許錳含量有適當提高。
1.3 力學性能試驗
1.3.1 拉伸試驗
在距焊縫180°管體位置和焊接接頭位置取樣,進行管 體 和 焊 接 接 頭 拉 伸 試 驗,試 驗 按 照 ASTMA370-14[5]進行.拉伸試驗結果見表2,可見鋼管的各項力學性能均符合 GB/T9711-2011技術要求。
1.3.2 彎曲試驗
在焊接接頭位置取2個試樣,進行焊縫導向彎曲試驗,試驗按照 ASTM A370-14[5]進行,試樣尺寸為400mm×38mm×30mm(長×寬×厚),兩個試樣一個面彎,一個背彎,分別彎曲180°.結果兩個試樣均未出現裂紋,試驗結果符合 GB/T9711-2011技術要求。
1.3.3 沖擊試驗
在距離焊縫90°管體、焊縫、熱影響區取3組沖擊試樣,每組試樣各3個,進行夏比沖擊試驗,試驗按照 ASTM A370-14進行.由表3可見,各位置試樣的沖擊性能也均符合 GB/T9711-2011技術要求。
從表3可以看出,管體橫向試樣在0℃的夏比沖擊吸收能量雖然滿足標準技術要求,但是余量不是很大,切斷面率最小為60%,平均值為68%,可見剪切斷面率也不高.0℃時,通常同鋼級管體橫向試樣的夏比沖擊吸收能量平均值一般都在100J以上.管體縱向試樣的夏比沖擊吸收能量單個最小值為80J,平均值為102J,較橫向值高,但剪切斷面率最小值為65%,平均值為70%,也不是太高.鋼管的韌性一般由夏比沖擊吸收能量結合剪切斷面率來評價,不能簡單地以夏比沖擊吸收能量的高低來評價材料的韌性,
因為管線鋼材料在受到沖擊載荷時,其沖擊吸收能由裂紋形成能和裂紋擴展能組成,而其中裂紋擴展能對材料的韌性起決定作用,剪切斷面率正好反映了裂紋擴展能在沖擊吸收總能量中所占的比例.
1.3.4 落錘撕裂試驗
在距 離 焊 縫 90°管 體 取 305 mm×76 mm×30mm(長×寬×厚)的3組試樣,每組試樣2個,分別 在 20,0,-20℃ 進 行 落 錘 撕 裂 試 驗,試 驗 按 照SY/T6476-2013點硬度均符合 GB/T9711-2011技術要求.點硬度均符合 GB/T9711-2011技術要求。
1.3.5 硬度試驗
分別在距離焊縫90°管體和焊接接頭位置取樣,進行硬度試驗,具體測試位置見圖2~3,按照 ASTME384-11e1[7]進行.試驗結果見表5,可見所有測試。
1.4 金相分析
在鋼 管 管 體 上 取 樣,進 行 金 相 分 析,使 用MEF4M 金相 顯 微 鏡 及 圖 像 分 析 系 統,試 驗 按 照ASTM E3-11,ASTM E45-13,ASTM E112-13,GB/T 13299-1991 進 行,金 相 分 析 結 果見表6.在生產檢驗中,一般采用對帶狀組織進行評級的方法來表征帶狀組織的嚴重程度.試驗結果表明,該鋼管的帶狀組織級別為 4.0 級,帶狀級別較高,帶狀程度較嚴重。
1.5 斷口微觀分析
根據鋼管斷口宏觀形貌,可以看出鋼管起裂于管體爆破口位置,裂紋源宏觀形貌如圖6(a)所示.
裂紋源源區微觀形貌如圖6(b)所示,裂紋源擴展區形貌如圖6(c)所示.從裂紋源源區和擴展區微觀形貌可以看出,鋼管斷裂為韌窩+解理復合型斷裂.
圖6 裂紋源源區和擴展區斷口形貌
Fig.6 Morphologyoffractureofthecracksourceandpropagationareaa macromorphologyofthecracksource bmicromorphologyofthecracksourcearea c micromorphologyofthecrackpropagationarea
在圖7所示管體橫向斷裂坡口邊沿取縱向斷口試樣,編號為1號,其宏觀形貌如圖8(a)所示.在管體橫向 斷 裂 坡 口 邊 沿 取 橫 向 斷 口 試 樣,編 號 為2號,其宏觀形貌如圖9(a)所示.通過1號和2號試樣的斷口宏觀分析可知,管道的截面為矩形截面,宏觀斷口上的放射狀條紋呈人字花樣,人字紋的頭部指向斷裂源.從裂紋源源區和擴展區的微觀形貌可以看出,源區和擴展區都有一定程度的解理形貌.從1號和2號試樣斷口的微觀形貌來看,有大量高密度的、短而彎曲的撕裂棱線條,為較為典型的解理斷口,如圖8(b)和圖9(b)
所示.解理斷口一般呈脆性斷裂特征,塑性變形很少,宏觀上為結晶狀.低溫、高應變速率、粗大晶粒和應力集中(如有缺口時)均有利于解理的發生,裂紋一經形成,便會快速傳播,因為不能快速止裂,往往會造成災難性的破壞.
有一定程度的解理形貌.從1號和2號試樣斷口的微觀形貌來看,有大量高密度的、短而彎曲的撕裂棱線條,為較為典型的解理斷口,如圖8(b)和圖9(b)所示.解理斷口一般呈脆性斷裂特征,塑性變形很少,宏觀上為結晶狀.低溫、高應變速率、粗大晶粒和應力集中(如有缺口時)均有利于解理的發生,裂紋一經形成,便會快速傳播,因為不能快速止裂,往往會造成災難性的破壞.看出,鋼管管體橫向的夏比沖擊吸收能量平均值為58J,單個值最小為 49J,略高于標準技術要求的40J;剪 切 斷 面 率 平 均 值 為 68%,單 個 值 最 小 為60%,可見剪切斷面率也不高.管體縱向試樣的沖擊功吸收能量較橫向試樣的高一些,最小值為80J,但剪切斷面率最小值為65%,平均值為70%,也不高.落錘撕裂試驗結果表明,鋼管管體0 ℃時的剪切面積分數為3%,-20 ℃時為0,表明鋼管的止裂韌性極低,這與夏比沖擊試驗結果一致.掃描電鏡觀察結果表明,裂紋源區和擴展區都有一定程度的解理形貌,橫向斷裂坡口邊沿橫向和縱向斷口試樣的微觀形貌均為解理,由此判斷該鋼管管體材料韌性很低,基本屬于脆性斷裂的范疇,這也與夏比沖擊試驗和落錘撕裂試驗結果相互印證.上述分析結果綜合表明:鋼管材料的韌性很差.
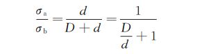
該鋼管在23.9MPa靜水壓試驗壓力下保壓10min未發生泄漏,試驗結果符合 GB/T9711-2011技術要求,繼續加壓 至 36.3 MPa時,管 體 發 生 爆 破 失效.從鋼管水壓爆破試驗失效的宏觀形貌來看,鋼管縱向斷口位置為非焊縫位置,爆破口起裂部位有明顯的膨脹突出變形,起裂部位壁厚明顯減薄.斷口處壁厚最小值為18.05mm,壁厚減薄量111.95mm.為了對鋼管變形及爆破過程有一個清晰的了解,對鋼管的受力情況進行了分析[8].鋼管中的靜水壓力既產生環向應力,也引起軸向應力,其縱向截面上的受力如圖10所示,橫向截面上的受力如圖11所示.根據切向力平衡條件,可得:
有一定程度的解理形貌.從1號和2號試樣斷口的微觀形貌來看,有大量高密度的、短而彎曲的撕裂棱線條,為較為典型的解理斷口,如圖8(b)和圖9(b)
所示.解理斷口一般呈脆性斷裂特征,塑性變形很少,宏觀上為結晶狀.低溫、高應變速率、粗大晶粒和應力集中(如有缺口時)均有利于解理的發生,裂紋一經形成,便會快速傳播,因為不能快速止裂,往往會造成災難性的破壞.
2 分析與討論
鋼管管體和焊接接頭的拉伸試驗、導向彎曲試驗、夏比 沖 擊 試 驗 及 硬 度 試 驗 結 果 均 符 合 GB/T9711-2011技術要求.從夏比沖擊試驗結果可以看出,鋼管管體橫向的夏比沖擊吸收能量平均值為58J,單個值最小為 49J,略高標準技術要求的40J;剪 切 斷 面 率 平 均 值 為 68%,單 個 值 最 小 為60%,可見剪切斷面率也不高.管體縱向試樣的沖擊功吸收能量較橫向試樣的高一些,最小值為80J,但剪切斷面率最小值為65%,平均值為70%,也不高.落錘撕裂試驗結果表明,鋼管管體0 ℃時的剪切面積分數為3%,-20 ℃時為0,表明鋼管的止裂韌性極低,這與夏比沖擊試驗結果一致.掃描電鏡觀察結果表明,裂紋源區和擴展區都有一定程度的解理形貌,橫向斷裂坡口邊沿橫向和縱向斷口試樣的微觀形貌均為解理,由此判斷該鋼管管體材料韌性很低,基本屬于脆性斷裂的范疇,這也與夏比沖擊試驗和落錘撕裂試驗結果相互印證.
上述分析結果綜合表明:鋼管材料的韌性很差.該鋼管在23.9MPa靜水壓試驗壓力下保壓10min未發生泄漏,試驗結果符合 GB/T9711-2011技術要求,繼續加壓 至 36.3 MPa時,管 體 發 生 爆 破 失效.從鋼管水壓爆破試驗失效的宏觀形貌來看,鋼管縱向斷口位置為非焊縫位置,爆破口起裂部位有明顯的膨脹突出變形,起裂部位壁厚明顯減薄.斷口處壁厚最小值為18.05mm,壁厚減薄量為11.95mm.為了對鋼管變形及爆破過程有一個清晰的了解,對鋼管的受力情況進行了分析[8].鋼管中的靜水壓力既產生環向應力,也引起軸向應力,其縱向截面上的受力。
如圖10所示,橫向截面上的受力如圖11所示.
根據切向力平衡條件,可得:
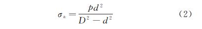
式中:σb 為環向應力,MPa;p 為靜水內壓力,MPa;d 為管道內徑,mm;t為管道壁厚,mm.
根據軸向力平衡條件,可得:
式中:σa 為軸向應力,MPa;D 為管道外徑,mm.則管道軸向應力與環向應力的比值為:
因此σb>2σa,即環向應力大于2倍的軸向應力,影響承壓的主要因素是環向應力.鋼管水壓試驗時,由于環向應力較大,爆破失效時,首先是環向應力達到爆破應力,管道縱向起爆后被撕裂.該鋼管的水壓爆破試驗壓力為36.3MPa,壁厚最小值為18.05mm,將其代入式(1)可得:σb=36.3×7532×18.05=757.17 MPa.
此時,σb 大大超過了管體的橫向抗拉強度和焊縫的抗拉強度,因而鋼管縱向起裂.從鋼管斷裂的整體宏觀形貌和斷口分析結果可知,在鋼管內部壓力逐漸增加的情況下,當鋼管環向截面內的應力超過鋼管的屈服強度后,在鋼管環向起爆點位置產生塑性變形(從裂紋源位置有一定數量的韌窩存在可以得出),鋼管壁厚減薄,塑性變形到一定程度后產生細小裂紋,而裂紋在管道強大的應力下迅速擴展,管道瞬間縱向爆裂,縱向開裂后迅速脆性斷裂.大量的鋼管靜水壓爆破試驗表明,管道塑性變形大的縱向開裂部分(起爆點噘嘴很大的部位一側)有向橫向撕裂的趨勢(圖12),所以管道縱向迅速斷裂后,在塑性變形大的一側由縱向脆性斷裂轉化為橫向斷裂(在該鋼管爆裂的宏觀形貌中,較為圓滑的過渡角也證實了 由 縱 向 斷 裂 轉 換 為 橫 向 斷 裂 的 過 程,見圖7).材料的塑性和韌性對裂紋擴展存在較大的影響,如果材料的韌性和塑性較差,承受大載荷時,
裂紋尖端局部塑性變形較小,裂紋擴展阻力小,就容易失穩擴展而迅速斷裂[9].如果該鋼管材料的塑性和韌性較高,橫向撕裂長度可能極小,而失效管道材料韌性較低,管道橫向撕裂后,無法迅速止裂,最終造成整個管道橫向也斷裂.
因此,造成 該 管 道 縱 向 開 裂 和 橫 向 斷 裂 的 主要原因是管道材料韌性較差.而影響材料沖擊韌度的因素主 要 有 材 料 的 化 學 成 分、顯 微 組 織 和 材料本身 內 部 的 缺 陷.為 了 進 一 步 弄 清 該 L360M級鋼管韌性 較 差 的 原 因,筆 者 從 以 下 幾 個 方 面 進行了分析.
(1)化學成分
鋼材的化學成分是材料韌性影響因素之一,不同的化學成分,其韌性可能不同.該 L360M 鋼級材料為低合金鋼,加入了微量的合金元素.由前文的化學成分分析結果可知,除錳含量稍高外,其他元素含量均在標準技術要求范圍內.錳元素有較強的固溶作用,其作用在于提高管線鋼的強度,比如常見的高強度鋼都為錳鋼.錳元素還可以降低奧氏體→鐵素體(γ→α)相轉變溫度,細化鐵素體晶粒.錳元素還可以起到脫硫作用,防止熱裂,適量的錳可以提高材料韌性,降低鋼的韌G脆轉變溫度.但是錳含量過高則會導致控軋鋼板的中心錳偏析嚴重[10],熱軋后成為帶狀偏析,形成帶狀組織,而帶狀組織會降低鋼材的韌性、塑性.因此,從化學成分來看,管體的錳含量為1.47%,含量稍高,鋼管管體材料中嚴重的帶狀組織可能與錳偏析有關。
(2)顯微組織
金相分析結果表明,鋼管材料顯微組織為多邊形鐵素體+珠光體.材料的帶狀組織評級較高,為4.0級,為多邊形鐵素體G珠光體帶狀組織,一般管線鋼標準要求材料的帶狀組織級別不超過3.0級,所以該材 料 的 帶 狀 組 織 較 為 嚴 重. 晶 粒 度 被 評 為8.0級,作為油氣輸送用的常見管線鋼管,其晶粒度級別基本在10.0級以上,所以該材料的晶粒尺寸也較為大.鐵素體G珠光體帶狀組織對材料塑性和韌性有較大影響,其作用機理如下[11]:鋼坯凝固時溶質元素(碳和其他元素等)發生偏析而富集在枝間,熱軋加熱時,碳能優先達到均勻,而其他代位原子的均勻化卻很困難,這就使得鋼中各區域的 Ar3點溫度(鋼材冷卻時奧氏體開始析出先共析鐵素體的實際臨界溫度)不一致.
亞共析 鋼 從 終 軋 時 的 奧 氏 體 態 冷 卻 時,先 在Ar3點溫度析出先共析鐵素體,當冷卻到 Ar1點溫度(鋼材冷卻時奧氏體開始析出珠光體的實際臨界溫度)時才開始形成珠光體.如果在鋼中各處都同時形成先共析鐵素體,就不會形成帶狀組織,也就是說各個區域的 Ar3 點溫度相同時,就不會形成帶狀組織.但是實際上,結晶時形成枝晶偏析,熱軋后成為帶狀偏析,枝間部分和枝干部分各元素含量不同,其Ar3點溫度也就不同,所以會導致先共析鐵素體析出的不同時性.Ar3點溫度高的帶狀偏析區優先共析鐵素體,Ar3點溫度低的部位后轉變,而由于富集碳而形成珠光體,這樣就形成鐵素體G珠光體帶狀組織,也稱為二次帶狀組織或纖維組織帶狀.鐵素體G珠光體帶狀組織往往具有脆性大的特點,會造成鋼材的各向異性,使鋼材的沖擊韌度、塑性和可切削性變差.帶狀組織的嚴重程度取決于合金元素的枝晶偏析程度、冷卻速率及奧氏體晶粒的大小.因此,很有可能,該材料夏比沖擊吸收能量和剪切斷面率偏低、韌性較差是由嚴重的鐵素體G珠光體帶狀組織引起的.帶狀組織的特點是有很強的方向性,在變形過程中容易產生應力集中.帶狀組織是脆弱的部位,容易萌生裂紋,有利于裂紋的形成和擴展.消除和減弱帶狀組織的方法有降低終軋溫度、增加控冷冷卻速率、微合金化等措施.降低終軋溫度,可以提高鋼中的形變能而誘發先共析鐵素體的形核,減小先共析鐵素體析出的不同時性;當控冷冷卻速率增加后,帶狀組織急劇減弱;合金元素鈮、鈦會在奧氏體中析出,可以成為先共析鐵素體的形核中心,促進先共析鐵素體的均勻形核,從而消除或減弱帶狀組織;上述方法都能減輕帶狀組織程度,需要視具體情況選用。
(3)材料缺陷
鋼管管體中的缺陷包括分層、夾雜、氣孔等.通過觀察,在沖擊試樣斷口、落錘撕裂試樣斷口以及鋼管縱向開裂和橫向斷裂斷口的宏觀形貌中,并未發現上述缺 陷,鋼 管 材 料 中 的 非 金 屬 夾 雜 物 含 量 也較低
3 結論及建議
(1)鋼管水壓試驗縱向開裂和橫向斷裂主要是由于其材料韌性較差,而材料帶狀組織較為嚴重為其韌性較差的重要原因之一.鋼管化學成分中錳含量稍高,易導致錳偏析,錳偏析可能是鋼管材料鐵素體G珠光體帶狀組織產生的原因之一,因此鋼中錳含量需要控制在合理的范圍內。
(2)為了降低 L360M 鋼級材料的帶狀組織級別,減小其晶粒尺寸,可以采取合理控制錳元素含量、降低鋼管用板材終軋溫度、增加控冷冷卻速率、微合金化等措施。
(來源材料測試網)





浙公網安備 33042402000106號 a>

