分享:超高轉速攪拌摩擦焊鋁合金板的焊接變形和殘余應力
周 洋1,戴智鑫1,方可偉2,薛俊榮1
(1.江蘇科技大學 材料科學與工程學院,鎮江 212003;2.蘇州熱工研究院有限公司,蘇州 215004)
摘 要:采用10000r??min-1以上的超高轉速攪拌摩擦焊設備,對100mm×80mm×1mm 的
2014鋁合金板進行了對接焊.利用水霧冷卻的方法控制鋁合金板的變形,得到了表面成型良好且
變形較小的焊件,并對焊件的焊接變形和殘余應力進行了測定和分析.結果表明:該2014鋁合金
板的焊縫無減薄,橫向最小撓度為0.25mm,縱向最小撓度為0.3mm;焊縫處的殘余應力很低,縱
向殘余應力峰值區間為-43~-83MPa.
關鍵詞:超高轉速攪拌摩擦焊;鋁合金板;焊接變形;殘余應力
中圖分類號:TG404 文獻標志碼:A 文章編號:1001G4012(2017)07G0482G05
WeldingDeformationandResidualStressofAluminumAlloySheets
WeldedbyFrictionStirWeldingatSuperHighRotationSpeed
ZHOUYang
1,DAIZhixin1,FANGKewei2,XUEJunrong
1
(1.SchoolofMaterialScienceandEngineering,JiangsuUniversityofScienceandTechnology,Zhenjiang212003,China;
2.SuzhouNuclearResearchInstitute,Suzhou215004,China)
Abstract:The100mm×80mm×1mm2014aluminumalloysheetswerebuttweldedbythefrictionstirwelding
equipmentatsuperhighrotationspeedofover10000r??min-1Thedeformationofaluminumalloysheetswascontrolled
bythewatermistcoolingmethod,andtheweldmentswithgoodappearanceandsmalldeformationwereobtained.TheweldingdeformationandtheresidualstressoftheweldmentsweremeasuredandanalyzedTheresultsshowthat:therewas
nothinningofweldingseamofthe2014aluminumalloysheet;theminimumtransversaldeflectionwas0.25mm,andthe
minimumlongitudinaldeflectionwas0.3mm;theresidualstressoftheweldingseam wasverylow,andthepeakvalue
intervaloflongitudinalresidualstresswasfrom -43MPato-83MPa.
Keywords:frictionstirweldingatsuperhighrotationspeed;aluminumalloysheet;weldingdeformation;residualstress
2014鋁合金具有良好的力學性能、熱強性和耐腐蝕性,是廣泛應用于航空、航天等諸多領域的高強鋁合金[1G2].但2014鋁合金的可焊性差,利用傳統的熔化焊方法如熔化極惰性氣體保護焊(MIG 焊)、
非熔化極惰性氣體鎢極保護焊(TIG 焊)等進行焊接時,容易產生熱裂紋,焊后殘余應力大,而且對于較薄的試件,焊后會產生很大的變形,嚴重影響其使用性能[3G4].因此,研究新的方法來實現2014鋁合金的焊接尤為重要.
攪拌摩擦焊接是一種新型的固相連接方法,不會產生與金屬熔化相關的缺陷,無需填充料和保護氣[5].而且由于攪拌摩擦焊接的熱輸入量相對較低,焊件的變形會減小,殘余應力也遠低于熔化焊接件的[6G7].目前,中厚板攪拌摩擦焊技術已較為成熟,在工業領域得到廣泛應用,而對于薄板攪拌摩擦焊,尤其是1mm 及以下的研究相對較少[8G9].針對薄板攪拌摩擦焊的特點及存在的問題,可采用轉速達到10000r??min-1以上的超高轉速攪拌摩擦焊設備,用 高 壓 水 霧 冷 卻 的 方 式 來 控 制 焊 接 件 的 變形[10G11].超高轉速可以保證微型攪拌頭的熱輸入量和攪拌能力,高壓水冷可以控制流量,相較于浸入式水冷有一定優勢[12G13].
筆者使用該方法對1mm 厚2014鋁合金板進行了對接焊,對焊縫外觀和焊縫微觀組織形態進行了觀察;測量了焊后工件的變形情況,與原始狀態進行了對比;測試分析了焊接過程中的溫度和焊后殘余應力,對解決鋁合金薄板在超高轉速攪拌摩擦焊中存在的問題具有實際意義.
1 試樣制備與試驗方法
1.1 試樣制備
試驗選用規格為100mm×80mm×1mm 的2014鋁合金板進行對接焊,攪拌頭軸肩半徑6mm,
攪拌針為錐狀,長度0.75mm,錐底直徑1.5mm,錐頂直徑1.2mm,軸肩及攪拌針均為平表面.墊板采用的是熱處理過的440C不銹鋼.
1.2 試驗方法
試樣制備后使用現配的 Keller試劑進行侵蝕,試劑成分為HF∶HCl∶HNO3∶H2O=1∶1.5∶2.5∶95
(體積比),侵蝕時間為5min,利用金相顯微鏡對焊縫處微觀組織進行觀察.采用激光測距儀對板面進行掃描,連續采集板面的坐標以測試變形情況.采用精度較高且穩定性相對較好的 WRNKG191K 型
鎧裝熱電偶測量焊接過程中的溫度,測得的溫度由DX2048型彩色無紙網絡記錄儀記錄.使用小孔法測定殘余應力,主要設備有 CMLG1H 型應變和力綜合測試儀、ZDLGⅡ型鉆孔設備、A 型應變片(應變釋放系數0.97).試驗中使用高精度的應變測量放大器,可以同時進行多通道應變測量.
2 試驗結果與討論
2.1 焊縫外觀與微觀組織
攪拌摩擦焊過程中,通過改變旋轉速率、焊接速率和下壓量進行工藝試驗.經過大量的對比試驗發現,在轉速達到15000r??min-1時,超高轉速攪拌摩擦焊的 焊 接 過 程 平 穩,容 易 得 到 良 好 的 焊 縫.如圖1所示,在高壓產生的蒸餾水水霧冷卻的條件下,可以得到表面光滑、成型良好且變形很小的焊件.
從橫截面的宏觀形貌(圖2)可觀察到焊縫不存在根部缺陷和減薄現象,且焊縫內部有清晰的流向線,流線致密,無疏松、孔洞等缺陷.從焊縫的微觀組織形貌(圖3)可以看出,焊核部分腐蝕較深,與熱機影響區有較明顯的分界.熱機影響區的晶粒受熱循環和機械攪拌的作用產生了變形,且后退側的晶粒變形比前進側的明顯.熱影響區和熱機影響區沒有明顯分界,由于水冷的作用,熱影響區受熱循環作用小,晶粒與母材的相似,為軋制后拉長的狀態。
2.2 焊接變形
在轉 速 為 15000r??min-1、焊 速 變 化 范 圍 為50~11mm??min-1 條件下,通過上述方法測定在不同焊接工藝下薄板的變形,可以得到焊接完成之后工件表面橫向或縱向每一個點的變形,能夠準確地觀察工件變形的情況.工件橫向(與焊縫垂直方向)的變形如圖4所示,工件縱向(與焊縫平行方向)的變形如圖5所示.
從圖4可以看出,2014鋁合金焊件的橫向變形呈對稱分布,隨著焊速的增大,變形減小.這是因為在其他焊接條件保持不變的情況下,隨著焊速的不斷增大,熱輸入量減少,焊件變形隨之變小.當轉速為15000r??min-1、焊速為50~110mm??min-1時,焊縫橫向的撓度為0.25~1.5 mm,變形幅度較小.另外還可以看出,橫向坐標80mm 處左右兩側撓度無突變,這也說明在該組參數下,攪拌摩擦焊接焊縫的厚度與母材厚度基本保持不變,不存在減薄現象。
從圖5可以看出,隨著焊速的增大,2014鋁合金焊件的縱向變形也相應減小.這是因為在其他焊接條件保持不變的情況下,隨著焊速的不斷增大,熱輸 入 量 減 少,焊 件 變 形 隨 之 變 小. 當 轉 速 為15000r??min-1、焊速為50~110mm??min-1 時,焊縫縱向的撓度為0.3~1.5 mm,變形幅度很小.當焊速為 50 mm??min-1 時,接近結束位置有突變現象,這是因為攪拌摩擦焊的匙孔所處位置熱輸入量過大,造成焊穿現象.通過焊件的橫向、縱向變形可以看出,在合適的水霧冷卻條件下配合相應的攪拌。
摩擦焊工藝參數,可以得到變形很小的焊件.
2.3 焊接溫度
試驗中分別測量2014鋁合金焊件正面前進側(AS)與焊縫中心距離為 5 mm 和 10 mm 處的溫度,及 后 退 側 (RS)與 焊 縫 中 心 距 離 為 5 mm 和10mm 處的溫度,測量結果如圖6所示。
由圖6可見:與焊縫中心之間的距離為10mm處,前進側與后退側溫度變化基本趨于一致;與焊縫中心之間的距離為5mm 處,前進側溫度高于后退側溫度.在實際的焊接過程中,前進側的焊速方向與旋轉方向一致,而后退側的焊接方向與旋轉方向相反,從而使得溫度場分布不均勻,且由于轉速極高,前進 側 溫 度 明 顯 高 于 后 退 側 的.實 際 測 量 的10mm 處前進側和后退側的溫度變化情況一致,這表明前進側與后退側溫度的不均勻分布有一定的距離限制,當超過一定距離時,前進側與后退側的溫度變化情況基本一致。
2.4 殘余應力
2.4.1 測試原理
2014鋁合金焊件內部存在殘余應力場和彈性應變場,在焊件待測位置貼上應變片,如圖7所示.
由于焊縫較窄,在焊件橫向同一方向上,不能同時測試前進側、后退側及熱影響區的應力,所以要錯開測試,試驗測試5個點,焊縫中心1個,后退側2個,前進側 2 個. 選 擇 鉆 頭 在 應 變 片 中 心 鉆 孔 (孔 徑2mm),該孔洞附近的應力會得到釋放,小孔周圍會產生一定程度的應變,此時應變片會測得變化的應變,通過應變測量儀將變化的應變數值輸出。
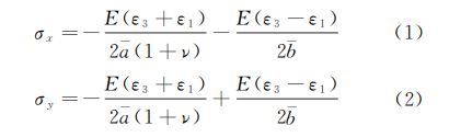
通過試驗可以測得3個主方向的應變ε1,ε2,ε3.依據 GB/T31310-2014«金屬材料 殘余應力測定 鉆孔應變法»,薄板通孔對應各向同性應力標定常數a??=0.16,切應力標定常數b=0.47,利用式(1)計算出橫向應力σx,利用式(2)計算出縱向應力σy式中:E 為彈性模量,73GPa;ν為泊松比,0.33.
2.4.2 測試結果與分析
選取一個2014鋁合金焊件作為測試對象,其使用 的 焊 接 參 數 為 轉 速 15 000 r??min-1、焊 速100mm??min-1,在 施 焊 過 程 中,在 攪 拌 頭 正 前 方50mm處設置水霧噴頭,水霧流量為3.2L??min-1.根據式(1)~(2)計算出工件上測試點沿工件橫截面上的橫向應力σx 和縱向應力σy 分布圖,如圖8所示(圖中正值為拉壓力,負值為壓應力).可以看出,測得的焊縫橫向應力較小,對焊件變形結果的影響不大,主要考慮縱向應力變化情況,測得的縱向應力峰值區間為-43~-83MPa.
從殘余應力的測試結果可以看出,軋制高強鋁合金薄板存在約45 MPa的軋制壓應力,攪拌摩擦焊后殘余應力有減小的趨勢,縱向殘余應力基本高于橫向殘余應力.縱向殘余應力的極大值在焊縫中心處,83MPa,為壓應力.由于冷卻裝置的作用,薄板散熱能力強,焊接過程中除了軸肩直接影響區域處于高溫狀態,其余部分都處在較低溫度的快速冷卻狀態.因此,軸肩在行進過程中會對其周圍金屬擠壓,隨后快速冷卻,最大應力出現在溫度梯度最大的焊縫中心區域,這與常規攪拌摩擦焊的規律有所不同,具體原因還需要更詳細的研究[14G16].而焊縫區域橫向殘余應力的最大值在前進側,為壓應力,這與溫度場測量結果顯示的前進側溫度較高也有一定關系.總體來說,超高轉速高壓水霧冷卻攪拌摩擦焊焊縫的橫向殘余應力很低,而縱向的殘余應力低于常規攪拌摩擦焊的。
3 結論
(1)超高轉速加高壓水霧冷卻的攪拌摩擦焊方法可以用來對鋁合金薄板進行對接焊,焊縫成型良好,焊縫無減薄現象。
(2)高壓水霧冷卻的方法可以將攪拌摩擦焊縫變形程度控制得很小,2014鋁合金焊件的橫向最小撓度為0.25mm,縱向最小撓度為0.3mm,相同的水冷條件和轉速下,焊速的提高會減小焊件的變形。
(3)溫度場測量結果顯示,2014鋁合金焊件焊縫區域的高溫停留時間很短,近焊縫處前進側的溫度高于后退側的。
(4)超高轉速攪拌摩擦焊焊縫的殘余應力較低,2014鋁合金焊件縱向應力峰值區間為-43~-83MPa,表現 為 壓 應 力.由 于 水 冷 和 薄 板 等 因素,縱向應力分布規律與常規攪拌摩擦焊的不同。





浙公網安備 33042402000106號 a>

